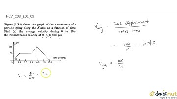
HCV: Figure shows the graph of the x-coordinate of a particle going along the X-axis as a function

Tonton & Download Video Musik Gratis

⬇ DOWNLOAD NOW
Jika muncul iklan pop-up, tutup lalu klik tombol kembali

Download lagu HCV: Figure shows the graph of the x-coordinate of a particle going along the X-axis as a function secara gratis hanya untuk keperluan promosi. Dukung artis favorit kamu dengan membeli musik original di iTunes atau platform resmi lainnya.