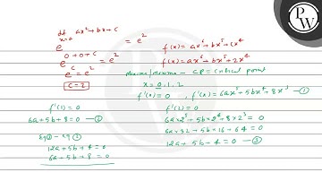
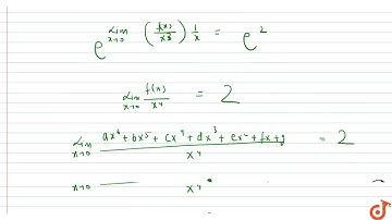
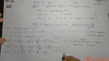
Let f(x) be a polynomial of degree 6 divisible by x^3, and having a point of extremum at x=2. If ...

Tonton & Download Video Musik Gratis

⬇ DOWNLOAD NOW
Jika muncul iklan pop-up, tutup lalu klik tombol kembali

Download lagu Let f(x) be a polynomial of degree 6 divisible by x^3, and having a point of extremum at x=2. If ... secara gratis hanya untuk keperluan promosi. Dukung artis favorit kamu dengan membeli musik original di iTunes atau platform resmi lainnya.