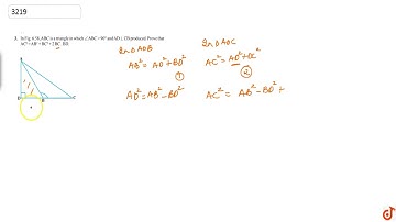
`A B C` is a triangle in which `/_B` =2 `/_CdotD` is a point on `B C` such that `A ...

Tonton & Download Video Musik Gratis

⬇ DOWNLOAD NOW
Jika muncul iklan pop-up, tutup lalu klik tombol kembali

Download lagu `A B C` is a triangle in which `/_B` =2 `/_CdotD` is a point on `B C` such that `A ... secara gratis hanya untuk keperluan promosi. Dukung artis favorit kamu dengan membeli musik original di iTunes atau platform resmi lainnya.