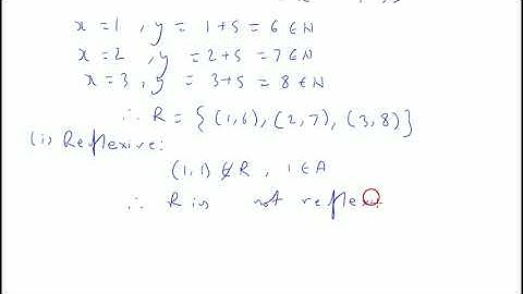
Relation R in the set N defined as R={(x, y):y=x+5 and x less 4} Reflexive, Symmetric, Transitive|12

Tonton & Download Video Musik Gratis

⬇ DOWNLOAD NOW
Jika muncul iklan pop-up, tutup lalu klik tombol kembali

Download lagu Relation R in the set N defined as R={(x, y):y=x+5 and x less 4} Reflexive, Symmetric, Transitive|12 secara gratis hanya untuk keperluan promosi. Dukung artis favorit kamu dengan membeli musik original di iTunes atau platform resmi lainnya.