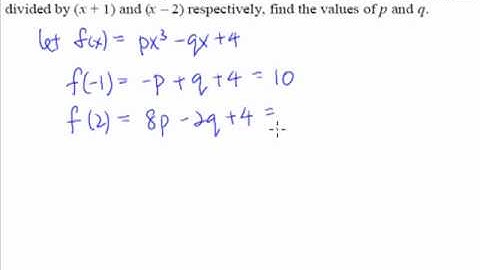
How to use the factor & remainder theorems - finding unknowns (simultaneous equations)

Tonton & Download Video Musik Gratis

⬇ DOWNLOAD NOW
Jika muncul iklan pop-up, tutup lalu klik tombol kembali

Download lagu How to use the factor & remainder theorems - finding unknowns (simultaneous equations) secara gratis hanya untuk keperluan promosi. Dukung artis favorit kamu dengan membeli musik original di iTunes atau platform resmi lainnya.