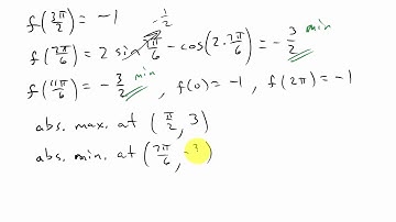
Find the absolute maximum and minimum value of f on [pi/4, 7pi/4]. F(t) = t+ cot (1/2 t)

Tonton & Download Video Musik Gratis

⬇ DOWNLOAD NOW
Jika muncul iklan pop-up, tutup lalu klik tombol kembali

Download lagu Find the absolute maximum and minimum value of f on [pi/4, 7pi/4]. F(t) = t+ cot (1/2 t) secara gratis hanya untuk keperluan promosi. Dukung artis favorit kamu dengan membeli musik original di iTunes atau platform resmi lainnya.