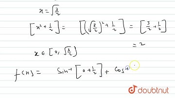
`f(x) = sin^-1[x^2+1/2]+cos^-1[x^2-1/2]`, where [ . ] denotes the greatest integer function.

Tonton & Download Video Musik Gratis

⬇ DOWNLOAD NOW
Jika muncul iklan pop-up, tutup lalu klik tombol kembali

Download lagu `f(x) = sin^-1[x^2+1/2]+cos^-1[x^2-1/2]`, where [ . ] denotes the greatest integer function. secara gratis hanya untuk keperluan promosi. Dukung artis favorit kamu dengan membeli musik original di iTunes atau platform resmi lainnya.