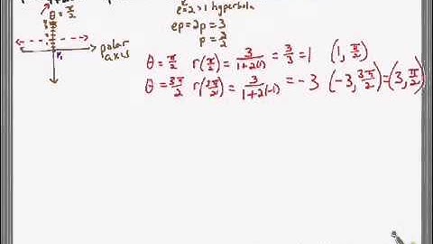
📚 How to graph the polar equation of a conic (Hyperbola, Question 4)

Tonton & Download Video Musik Gratis

⬇ DOWNLOAD NOW
Jika muncul iklan pop-up, tutup lalu klik tombol kembali

Download lagu 📚 How to graph the polar equation of a conic (Hyperbola, Question 4) secara gratis hanya untuk keperluan promosi. Dukung artis favorit kamu dengan membeli musik original di iTunes atau platform resmi lainnya.