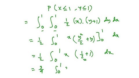
Joint density function for a pair of random variable X and Y is f(x,y) = Cx (1+y)

Tonton & Download Video Musik Gratis

⬇ DOWNLOAD NOW
Jika muncul iklan pop-up, tutup lalu klik tombol kembali

Download lagu Joint density function for a pair of random variable X and Y is f(x,y) = Cx (1+y) secara gratis hanya untuk keperluan promosi. Dukung artis favorit kamu dengan membeli musik original di iTunes atau platform resmi lainnya.