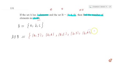
Set A has 3 elements and the set B has 4 elements. Then the number |Class 12 MATH | Doubtnut

Tonton & Download Video Musik Gratis

⬇ DOWNLOAD NOW
Jika muncul iklan pop-up, tutup lalu klik tombol kembali

Download lagu Set A has 3 elements and the set B has 4 elements. Then the number |Class 12 MATH | Doubtnut secara gratis hanya untuk keperluan promosi. Dukung artis favorit kamu dengan membeli musik original di iTunes atau platform resmi lainnya.