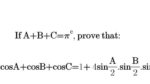
If A,B,C are the angles of a triangle then prove that `cosA+cosB-cosC=-1+4cos(A/2)cos(B/2)sin(C...

Tonton & Download Video Musik Gratis

⬇ DOWNLOAD NOW
Jika muncul iklan pop-up, tutup lalu klik tombol kembali

Download lagu If A,B,C are the angles of a triangle then prove that `cosA+cosB-cosC=-1+4cos(A/2)cos(B/2)sin(C... secara gratis hanya untuk keperluan promosi. Dukung artis favorit kamu dengan membeli musik original di iTunes atau platform resmi lainnya.