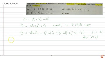
If the vector 6 î-3 ĵ-6 k̂ is decomposed into vectors parallel and perpendicular to the vectorî+ĵ...

Tonton & Download Video Musik Gratis

⬇ DOWNLOAD NOW
Jika muncul iklan pop-up, tutup lalu klik tombol kembali

Download lagu If the vector 6 î-3 ĵ-6 k̂ is decomposed into vectors parallel and perpendicular to the vectorî+ĵ... secara gratis hanya untuk keperluan promosi. Dukung artis favorit kamu dengan membeli musik original di iTunes atau platform resmi lainnya.