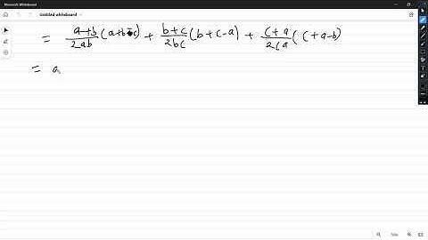
Simplify: (a+b)/2ab (a+b+c) + (b+c)/2bc (b+c-a) + (c+a)/2ca (c+a-b)

Tonton & Download Video Musik Gratis

⬇ DOWNLOAD NOW
Jika muncul iklan pop-up, tutup lalu klik tombol kembali

Download lagu Simplify: (a+b)/2ab (a+b+c) + (b+c)/2bc (b+c-a) + (c+a)/2ca (c+a-b) secara gratis hanya untuk keperluan promosi. Dukung artis favorit kamu dengan membeli musik original di iTunes atau platform resmi lainnya.