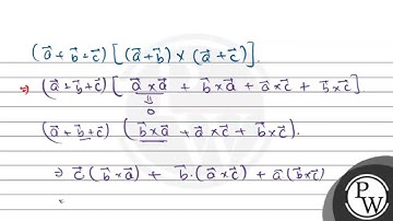
If \\(\\vec{a}, \\vec{b}\\) and \\(\\vec{c}\\) are three non-coplanar vectors, then \\((\\vec{a}....

Tonton & Download Video Musik Gratis

โฌ‡ DOWNLOAD NOW
Jika muncul iklan pop-up, tutup lalu klik tombol kembali

Download lagu If \\(\\vec{a}, \\vec{b}\\) and \\(\\vec{c}\\) are three non-coplanar vectors, then \\((\\vec{a}.... secara gratis hanya untuk keperluan promosi. Dukung artis favorit kamu dengan membeli musik original di iTunes atau platform resmi lainnya.