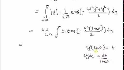
Transformations: Ratio of Standard Normal Random Variables to a Cauchy Random Variable

Tonton & Download Video Musik Gratis

⬇ DOWNLOAD NOW
Jika muncul iklan pop-up, tutup lalu klik tombol kembali

Download lagu Transformations: Ratio of Standard Normal Random Variables to a Cauchy Random Variable secara gratis hanya untuk keperluan promosi. Dukung artis favorit kamu dengan membeli musik original di iTunes atau platform resmi lainnya.