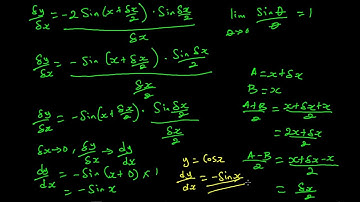
Derivative of Cosx using by first principal method#maths #mathematics #success #study #shorts #video

Tonton & Download Video Musik Gratis

⬇ DOWNLOAD NOW
Jika muncul iklan pop-up, tutup lalu klik tombol kembali

Download lagu Derivative of Cosx using by first principal method#maths #mathematics #success #study #shorts #video secara gratis hanya untuk keperluan promosi. Dukung artis favorit kamu dengan membeli musik original di iTunes atau platform resmi lainnya.