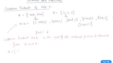
Cartesian Product Of Sets | Relations And Functions | Class 11 | Ex 2.1

Tonton & Download Video Musik Gratis

⬇ DOWNLOAD NOW
Jika muncul iklan pop-up, tutup lalu klik tombol kembali

Download lagu Cartesian Product Of Sets | Relations And Functions | Class 11 | Ex 2.1 secara gratis hanya untuk keperluan promosi. Dukung artis favorit kamu dengan membeli musik original di iTunes atau platform resmi lainnya.