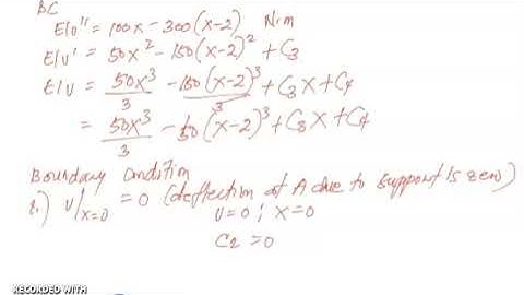
How to Calculate the Deflection and Slope for a Fixed Beam | Deflection of a fixed beam using FEA

Tonton & Download Video Musik Gratis

⬇ DOWNLOAD NOW
Jika muncul iklan pop-up, tutup lalu klik tombol kembali

Download lagu How to Calculate the Deflection and Slope for a Fixed Beam | Deflection of a fixed beam using FEA secara gratis hanya untuk keperluan promosi. Dukung artis favorit kamu dengan membeli musik original di iTunes atau platform resmi lainnya.