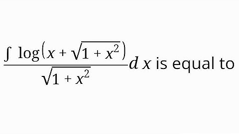
#Logarithms #tricks through #Pyq of #nda and #kcet #jeemains #calculus #function #bitsat #wbjee #iit

Tonton & Download Video Musik Gratis

⬇ DOWNLOAD NOW
Jika muncul iklan pop-up, tutup lalu klik tombol kembali

Download lagu #Logarithms #tricks through #Pyq of #nda and #kcet #jeemains #calculus #function #bitsat #wbjee #iit secara gratis hanya untuk keperluan promosi. Dukung artis favorit kamu dengan membeli musik original di iTunes atau platform resmi lainnya.