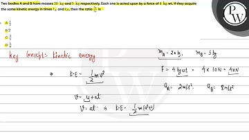
Two bodies of different masses math xmlns=http://www.w3.org/1998/Math/MathMLmn2/mnmik/mimig/mi/m...

Tonton & Download Video Musik Gratis

⬇ DOWNLOAD NOW
Jika muncul iklan pop-up, tutup lalu klik tombol kembali

Download lagu Two bodies of different masses math xmlns=http://www.w3.org/1998/Math/MathMLmn2/mnmik/mimig/mi/m... secara gratis hanya untuk keperluan promosi. Dukung artis favorit kamu dengan membeli musik original di iTunes atau platform resmi lainnya.