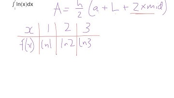
2020 Maths Standard 2 Sample HSC Q16 Use Trapezoidal rule with scale diagram to estimate land area

Tonton & Download Video Musik Gratis

⬇ DOWNLOAD NOW
Jika muncul iklan pop-up, tutup lalu klik tombol kembali

Download lagu 2020 Maths Standard 2 Sample HSC Q16 Use Trapezoidal rule with scale diagram to estimate land area secara gratis hanya untuk keperluan promosi. Dukung artis favorit kamu dengan membeli musik original di iTunes atau platform resmi lainnya.