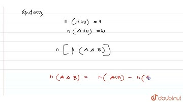
##XI MATHS EXERCISE 1.1-7 If n(A intersection B)=3and n(AUB)=10, then find n(p(A∆B))

Tonton & Download Video Musik Gratis

⬇ DOWNLOAD NOW
Jika muncul iklan pop-up, tutup lalu klik tombol kembali

Download lagu ##XI MATHS EXERCISE 1.1-7 If n(A intersection B)=3and n(AUB)=10, then find n(p(A∆B)) secara gratis hanya untuk keperluan promosi. Dukung artis favorit kamu dengan membeli musik original di iTunes atau platform resmi lainnya.