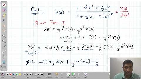
Lecture 22: Block diagram representation: Direct form I and II (Discrete Time Systems)

Tonton & Download Video Musik Gratis

⬇ DOWNLOAD NOW
Jika muncul iklan pop-up, tutup lalu klik tombol kembali

Download lagu Lecture 22: Block diagram representation: Direct form I and II (Discrete Time Systems) secara gratis hanya untuk keperluan promosi. Dukung artis favorit kamu dengan membeli musik original di iTunes atau platform resmi lainnya.