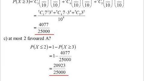
2018 Maths Extension 1 HSC Q12d Solve worded binomial probability problem

Tonton & Download Video Musik Gratis

⬇ DOWNLOAD NOW
Jika muncul iklan pop-up, tutup lalu klik tombol kembali

Download lagu 2018 Maths Extension 1 HSC Q12d Solve worded binomial probability problem secara gratis hanya untuk keperluan promosi. Dukung artis favorit kamu dengan membeli musik original di iTunes atau platform resmi lainnya.