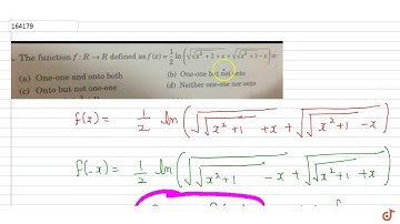
Let `f: R - gt R` be defined by `f(x)=In (x + sqrt(x^2+1))` , then number of solutions of `...

Tonton & Download Video Musik Gratis

⬇ DOWNLOAD NOW
Jika muncul iklan pop-up, tutup lalu klik tombol kembali

Download lagu Let `f: R - gt R` be defined by `f(x)=In (x + sqrt(x^2+1))` , then number of solutions of `... secara gratis hanya untuk keperluan promosi. Dukung artis favorit kamu dengan membeli musik original di iTunes atau platform resmi lainnya.